Staging ::: VER CORREOS
Acceder
Dividendos: Guía para invertir en ellos y vivir de las rentas

Dividendos: Guía para invertir en ellos y vivir de las rentas

EDITOR's CHOICE
Los dividendos son la parte de las utilidades que una sociedad anónima reparte entre sus accionistas. En Chile, la ley obliga a repartir al menos el 30% de las utilidades líquidas. Esta guía explica cómo funcionan, los tipos que existen y cómo maximizar tu rentabilidad.
En términos sencillos, los dividendos son la "recompensa" en efectivo que una empresa entrega a sus dueños (los accionistas) por el éxito del negocio. Es una excelente forma de obtener rentabilidad pasiva, aunque hay que analizarlo con lupa: a veces, un reparto muy alto indica que la empresa se ha quedado sin ideas innovadoras para expandirse. 

Datos Clave
  •  Reparto de beneficios: El dividendo es la parte de las utilidades que una compañía entrega a sus accionistas con derecho a cobro.
  • Gobierno corporativo: Es el directorio de la sociedad el encargado de proponer y fijar tanto las fechas de pago como las cantidades exactas a distribuir.
  • Estrategia de crecimiento: No todas las empresas reparten efectivo; muchas optan por la capitalización de utilidades, reinvirtiendo el 100% de las ganancias para potenciar la expansión del negocio. 
 
Guía para invertir en Dividendos
Guía para invertir en Dividendos
 

¿Qué son los dividendos y cómo afectan a mis inversiones?

Los dividendos son la repartición de las ganancias de una empresa a sus accionistas. Según la Comisión para el Mercado Financiero (CMF), representan el retorno directo en efectivo que recibe el inversor por su capital.

Estos afectan tus inversiones de tres formas:
  1. Ingreso pasivo: Recibes dinero en tu cuenta de corretaje sin vender tus acciones.
  2. Reducción del costo: El flujo de caja recibido disminuye el riesgo total de tu posición.
  3. Valor de la acción: Generalmente, el precio de la acción ajusta a la baja el día que se reparte el dividendo (fecha ex-dividendo).
Aquí tienes una adaptación profesional, estructurada y optimizada de la información sobre dividendos para tu guía de inversión en Chile:

¿Cómo funcionan realmente los dividendos?

Los dividendos son, en esencia, la recompensa directa que recibes por ser "socio" de una empresa. Se pagan generalmente con las ganancias netas del ejercicio y son un imán para los inversores que buscan flujos de caja constantes.
Un historial sólido de pagos no solo da confianza, sino que suele sostener el precio de la acción en tiempos de incertidumbre.

Estructura y Aprobación

  • Decisión Corporativa: El Consejo de Administración (o Directorio) debe proponer el pago. En muchos casos, este debe ser ratificado por la Junta de Accionistas.
  • Fondos y ETFs: Si inviertes a través de fondos mutuos o ETFs, recibirás dividendos basados en el Valor Liquidativo (VAN) y en los cobros que el propio fondo haya percibido de las empresas que componen su cartera.
  • Formas de pago: Aunque el efectivo es el rey, algunas empresas optan por entregar acciones liberadas (nuevas acciones gratuitas para el inversor).

Es importante tener en cuenta que los dividendos son una parte de las ganancias que las empresas distribuyen entre sus accionistas. Estos pagos se realizan en forma de efectivo o acciones, y pueden ser periódicos o únicos.

¿Quién tiene derecho a cobrar dividendos y cuál es el proceso?

No todos los que compran acciones reciben dividendos automáticamente. Para participar en el reparto de utilidades, es fundamental entender el factor tiempo.

El requisito principal: La Fecha Ex-Dividendo ⏳
La fecha ex-dividendo es, en términos sencillos, el día de "corte".
  • Para cobrar: Debes adquirir y poseer las acciones antes de esta fecha.
  • Si compras después: El derecho al dividendo se queda con el vendedor original, incluso si tú ya eres el dueño del título el día que se deposita el dinero. Es la frontera legal que determina quién recibe la compensación cuando una acción cambia de manos.
En Chile, como en muchos otros países, los dividendos son una forma común de recompensar a los inversores por su confianza en la empresa. Además, los dividendos también pueden ser una señal de que la empresa está financieramente sólida y puede permitirse distribuir parte de sus ganancias.

➡️ ¿Cómo tributan tus dividendos? No pagues de más: conoce el tratamiento tributario de tus dividendos naciones y extranjeros aquí.

¿Qué tipos de dividendos existen?

En el mercado financiero, no todos los pagos son iguales. Dependiendo del momento financiero de la empresa y su estrategia de caja, puedes recibir tu beneficio de distintas formas.

1. Dividendos según el momento del pago

  • Dividendo a cuenta: Es un anticipo de los beneficios que la empresa proyecta tener al cierre del año. Se paga antes de que finalice el ejercicio contable.
  • Dividendo complementario: Se paga una vez que las cuentas anuales han sido aprobadas en la Junta General. Completa el monto total prometido tras el pago "a cuenta".
  • Dividendo extraordinario: Un pago único que no forma parte de la política habitual. Suele ocurrir cuando la empresa vende un activo importante o tiene ganancias inesperadas.

2. Dividendos según la forma de retribución

  • Dividendo en acciones (Scrip Dividend): La compañía entrega nuevas acciones en lugar de dinero en efectivo. Esto permite a la empresa mantener su liquidez mientras premia al accionista.
  • Dividendo flexible: Es una variante donde tú eliges: o recibes el dinero o recibes nuevas acciones de la compañía.
  • Dividendo en especie: Aunque es poco común, la empresa reparte activos que no son dinero ni acciones, como productos o propiedades.
  • Recompra de acciones (Buybacks): No es un dividendo directo, pero beneficia al inversor. La empresa compra sus propias acciones para eliminarlas, haciendo que las tuyas valgan un porcentaje mayor de la compañía.

Resumen comparativo: ¿Cómo prefieres cobrar?

Tipo de Retribución
¿Recibes Efectivo?
Impacto en tu Patrimonio
Ventaja Principal
Efectivo (Cash)
Inmediato
Liquidez directa para gastos o reinversión.
Scrip Dividend
No
A largo plazo
Aumentas tu número de acciones sin pagar comisiones.
Recompra (Buyback)
No
Indirecto
Aumenta el valor de cada una de tus acciones.
Extraordinario
Puntual
Un "bono" inesperado por hitos de la empresa.

¿Cómo se calcula la Rentabilidad por Dividendo (RPD)?

  

¿Cómo se pagan los dividendos?

Una empresa tiene 2 opciones al momento de distribuir sus utilidades o ganancias:
·         Pagar dividendos: Los pagos de dividendos se pueden realizar en efectivo o en acciones. Con el pago en acciones, recibes un porcentaje de acciones nuevas. Por ejemplo, si un accionista posee 100 acciones y la empresa emite un dividendo en acciones del 10%, tendrá 110 acciones después de que se pague el dividendo.
·         Retener ganancias manteniendo dividendos en la empresa para cubrir pérdidas o realizar nuevas inversiones. Esto generalmente se da por la decisión de la empresa de apuntar a fortalecer su posición en el mercado o enfocarse en el desarrollo de un nuevo producto, con mayor comunicación y difusión que lo lleve al exterior. Son estrategias con las que la empresa pretende crecer y por ello requiere de esos beneficios para no solicitar financiamiento.

¿Es beneficioso reinvertir los dividendos?

Sí, reinvertir los dividendos es la estrategia más efectiva para acelerar el crecimiento del capital. Al comprar más acciones con el dinero recibido, generas un efecto de interés compuesto.

Beneficios de la reinversión:
  • Aumentas tu cantidad de acciones sin aportar capital nuevo del bolsillo.
  • A largo plazo, el número de acciones crece exponencialmente, aumentando los futuros cobros.
  • Aprovechas el "interés compuesto", donde tus dividendos generan nuevos dividendos.

Si buscas empresas estables para esta estrategia, te recomendamos revisar las Aristócratas del dividendo: mejores acciones para vivir de rentas.
 

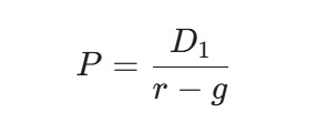
¿Cómo se utiliza el Modelo de Descuento de Dividendos (DDM)?

  
El Modelo de Descuento de Dividendos (DDM) es un método de valoración que calcula el precio justo de una acción hoy basándose en la suma de todos sus dividendos futuros traídos al presente. La lógica es simple: una acción vale lo que es capaz de generar en efectivo para su dueño a lo largo del tiempo.

Para usarlo, el inversionista aplica la Fórmula de Gordon-Shapiro (la variante más común del DDM):
Fórmula de Gordon-Shapiro

 
Donde:
  • $P$: Precio teórico o justo de la acción.
  • $D_1$: Dividendo esperado para el próximo año.
  • $r$: Tasa de retorno requerida (lo que tú esperas ganar por el riesgo).
  • $g$: Tasa de crecimiento constante de los dividendos.
Ejemplo en el IPSA: Si una empresa chilena planea pagar un dividendo de $100 el próximo año ($D_1$), tú exiges un 10% de retorno ($r = 0,10$) y esperas que los dividendos crezcan un 2% anual ($g = 0,02$), el valor justo sería: $100 / (0,10 - 0,02) = \$1.250$. Si la acción cotiza a $1.100 en la bolsa, está "barata".
¿Cómo empezar a invertir en dividendos hoy?
 Para cobrar dividendos en Chile, debes seguir estos pasos:
  1. Abre una cuenta: Regístrate en una corredora de bolsa regulada por la CMF.
  2. Analiza la empresa: No mires solo el dividendo actual; revisa el historial de pagos de los últimos 5 años.
  3. Compra antes del corte: Debes poseer las acciones al menos 5 días hábiles antes de la fecha de pago programada.

Para diversificar, puedes buscar acciones que pagan dividendos trimestrales, lo que te permite tener un flujo de caja constante cada tres meses. 
Nota de seguridad: Invertir en acciones conlleva riesgos. La rentabilidad pasada no garantiza resultados futuros. Siempre consulta con un asesor financiero si tienes dudas sobre tu perfil de riesgo.
La gran duda:

¿Es el dividendo una inversión segura?

En bolsa hay compañías que tienen mucha tradición de repartir buenos dividendos (hasta un 10% del valor de la acción ahora que los valores han bajado mucho en bolsa).
Esto podría verse como una inversión segura (comprar el día antes de repartir dividendo, quedarse con el dividendo, vender la acción el día después), pero el mercado no es tonto, claro está, y una vez que se reparte el dividendo, la empresa vale menos: ha perdido de sus fondos el dinero repartido.
Si una empresa vale 1.000 millones de pesos en bolsa (la suma del precio de todas las acciones) y reparte diez millones de pesos en dividendo, la empresa valdrá 990 millones de pesos en dicho momento. Si la empresa estaba formada por un millón de acciones, cada acción valía mil pesos y, después del reparto de dividendos, valdrá $990.
De esta manera nada se gana ni se pierde (aunque después la acción puede seguir fluctuando)
.

Más dudas frecuentes:



Todos los que tienen acciones antes del día de que se descuente de la cotización, tendrían derecho al dividendo. Así no hay posibilidad de arbitraje. 


El reparto de dividendos de una empresa depende de esta, existen compañías que reparten dividendos una sola vez al año, y, en cambio, otras que reparten los dividendos cada cuatrimestre.
No es obligatorio pagar dividendos. Hay muchas empresas a nivel mundial que no lo pagan.


No existe ningún mínimo para poder cobrar los dividendos, en cuanto alguien es poseedor de una acción, tiene derecho al cobro de los dividendos que esa acción genere, otra cosa son los derechos políticos, que sí que puede haber mínimos de acciones requeridas para acudir a una junta, sin embargo, esto no ocurre para cobrar los dividendos.


La principal ventaja de invertir en empresas que reparten dividendos elevados es que te permite recuperar parte de la inversión que hiciste al comprar las acciones, cuanto más elevada sea la cuantía del dividendo, antes recuperas la inversión de las acciones y podrás invertir esos pesos en nuevas acciones o ahorrarlos.


Las empresas jóvenes y de rápido crecimiento, como las de los sectores tecnológico y biotecnológico, podrían no pagar dividendos regularmente, ya que se encuentran en las primeras etapas de desarrollo y destinan la totalidad de sus ganancias a investigación y desarrollo, expansión comercial o actividades operativas. Los inversores tienden a perdonar la falta de dividendos si el precio de las acciones de la empresa crece rápidamente. 


 Sí, la inversión en dividendos es una estrategia sólida para generar ingresos pasivos y estabilidad. Permite obtener flujos de caja constantes y amortiguar las caídas del mercado, aunque suele implicar un crecimiento del capital más lento en comparación con las acciones de crecimiento (growth). 

Es importante no solo tener en cuenta la cuantía del dividendo a la hora de invertir en una empresa, ya que algunas empresas que tienen problemas financieros u operativos conocen que existen muchos inversores que solo buscan dividendos altos a la hora de invertir, y tratan de atraerlos ofreciendo unos dividendos desorbitados para así estabilizar su situación en Bolsa, pero tarde o temprano suelen acabar agravándose sus problemas y haciendo perder parte de su inversión a sus accionistas.

 
¿Buscas un bróker?
Logo de LibertexLibertex

💎 OFERTAS EXCLUSIVAS  
✓ Bono 100% hasta 10.000$ | Código: WELCOME
Acciones gratis hasta 200$ | Código: GIFT
Ver más
Logo de XTBXTB

XTB te regala una acción con tu primer depósito

Ver más
Logo de Just2TradeJust2Trade

Bono de bienvenida de $35 sin depósito + 15% sobre todos los depósitos posteriores
Ver más
Logo de HapiHapi

Más de 40 criptomonedas disponibles 24h al día

Ver más
Accede a Rankia
¡Sé el primero en comentar!
El mejor broker para ti

Te ayudamos a encontrar el bróker que mejor se adapta a ti

    Productos disponibles
    Frecuencia
Acepto que mis datos sean tratados por Rankia S.L. con el objeto de informarme de productos y servicios relacionados con brokers.