Staging ::: VER CORREOS
Acceder
¿Qué es un Bono Bullet y cómo funciona su estructura de pagos?

¿Qué es un Bono Bullet y cómo funciona su estructura de pagos?

Los bonos bullet son instrumentos de deuda donde el capital se devuelve íntegro al final del plazo. Son comunes en la Bolsa de Santiago por su estructura de cupones de solo interés. En esta guía analizamos su riesgo de refinanciamiento y cómo valorarlos correctamente.
Puntos Clave:
  •  Pago único: El capital principal (capital inicial) se devuelve totalmente en la última cuota.
  • Cupones de interés: Durante la vida del bono, el inversor solo recibe pagos por intereses.
  • Riesgo de liquidez: El emisor debe tener caja suficiente al vencimiento para pagar el total de la deuda.
¿Qué es un Bono Bullet y cómo funciona su estructura de pagos?

¿Qué es un bono bullet?

Un bono bullet es un título de deuda donde el emisor devuelve el capital principal en un solo pago al vencimiento. Es un instrumento de renta fija muy utilizado en el mercado de capitales chileno por empresas estatales y corporativas.

A diferencia de un crédito de consumo tradicional, donde pagas capital e intereses mes a mes, aquí los pagos intermedios llamados "cupones" son exclusivamente intereses. El inversionista recibe su inversión inicial de vuelta solo cuando el contrato llega a su fecha final.

¿Cómo se calcula el valor de un bono bullet?

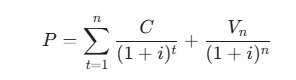
El valor de un bono bullet es la suma de sus flujos futuros descontados a una tasa de mercado. Para determinar cuánto vale hoy, debemos traer al presente tanto los cupones de interés como el pago final del capital.

La fórmula financiera estándar es:
La fórmula financiera estándar es:$$P = \sum_{t=1}^{n} \frac{C}{(1+i)^t} + \frac{V_n}{(1+i)^n}$$
Donde:
  • $P$: Precio actual del bono.
  • $C$: Cupón de interés periódico.
  • $i$: Tasa de descuento o rendimiento exigido (YTM).
  • $V_n$: Valor nominal o principal a devolver al final.
En Chile, esta valoración suele ajustarse según la Unidad de Fomento (UF) si el bono está emitido en dicha unidad, para proteger al inversor de la inflación.
 

Modelo de valoración de un bono bullet

Para valorar el valor de un bono bullet a día de hoy se utiliza la siguiente fórmula:
Modelo de valoración de un bono bullet
El valor de un bono con una vida de "X" años en el día de hoy se calcula actualizando a fecha actual los cupones de intereses que esperamos cobrar en el fututo más el último periodo, que se compone del cupón y el principal del bono.

La tasa de actualización que se utiliza para actualizar, la variable Kd de la fórmula, será una tasa de rendimiento de un bono de riesgo similar.

De esta forma, obtenemos el precio del bono al vencimiento a fecha de hoy, es decir, el precio que obtenemos es el precio del bono con todos los cupones incluidos, pero descontados a la tasa de rendimiento de un bono de riesgo similar, a fecha de hoy. 

¿Cuáles son las diferencias entre un bono bullet y uno amortizable?

La principal diferencia radica en cuándo recuperas tu capital. Mientras que el bono bullet "dispara" todo el capital al final, el bono amortizable (o tipo francés) lo devuelve gradualmente.
Característica
Bono Bullet
Bono Amortizable
Pago de Capital
Único, al vencimiento.
Gradual, en cada cuota.
Monto de Cupones
Bajos (solo interés).
Altos (interés + capital).
Riesgo para el Emisor
Alto al final del plazo.
Distribuido en el tiempo.
Uso común
Bonos de Tesorería, Grandes Empresas.
Créditos hipotecarios, Bonos PYME.

¿Qué riesgos tienen los bonos bullet para el inversor?

El mayor riesgo de un bono bullet es el riesgo de refinanciamiento del emisor. Debido a que la empresa debe desembolsar una gran suma de dinero en una sola fecha, si no tiene liquidez o el mercado está "cerrado", podría caer en impago (default).

  • Riesgo de Tasa de Interés: Si las tasas suben en Chile (TPM del Banco Central), el precio de tu bono en el mercado secundario bajará.
  • Riesgo de Inflación: Si el bono es en pesos nominales, una inflación alta consume tu rentabilidad real.
  • Planificación Deficiente: Según la Comisión para el Mercado Financiero (CMF), las empresas deben declarar sus planes de redención para mitigar el riesgo de no pago al vencimiento.

¿Por qué las empresas en Chile emiten bonos bullet?

Las empresas prefieren los bonos bullet para financiar proyectos de largo plazo que no generan caja inmediata. Esto les permite usar el dinero hoy y empezar a devolver el capital años después, cuando el proyecto ya es rentable.

Es común ver emisiones de este tipo en sectores como:
  • Energía: Construcción de parques solares o eólicos.
  • Infraestructura: Concesiones de autopistas.
  • Gobierno: Bonos de la Tesorería General de la República para financiar el gasto público.

  
Fuentes consultadas:
 
¿Buscas un bróker?
Logo de Capital.comCapital.com

✅ Supera tus metas de trading y consigue $50
✅ 0% de comisiones sobre operaciones, depósitos y retiros
✅ Cursos de trading gratuitos
Ver más
Logo de XTBXTB

XTB te regala una acción con tu primer depósito

Ver más
Logo de ActivTradesActivTrades

Bonus del 10% en tu primer depósito
Ver más
Logo de LBXLBX

MT4, MT5 y plataformas web y móvil 
Cuentas Standard, Raw y Copy Trading
Soporte 24/7 multilingüe 




Ver más
  1. Nuevo
    #1
    16/11/20 19:32
    los bullet cuanto es lo minimo a invertir ehemplo si invierto 100.000 us cuanto gano
El mejor broker para ti

Te ayudamos a encontrar el bróker que mejor se adapta a ti

    Productos disponibles
    Frecuencia
Acepto que mis datos sean tratados por Rankia S.L. con el objeto de informarme de productos y servicios relacionados con brokers.